算法_递归_分治

内容

阶乘(factorial)

1
2
3
4
阶乘可递归地定义为:
fac(n) =
1; 当n=1时
fac(n-1)*n; 当n>1时

此处, fac(n-1)代表什么意思呢? 是: 1 * 2 * ... * (n-1)

代码

非递归版

1
2
3
4
5
6
7
8
9
int factorial(int n)
{
int res = 1;
for(int i = 1; i <= n; ++i)
{
res = res * i;
}
return res;
}

递归版

1
2
3
4
5
6
7
int factorial(int n)
{
if(n <= 1)
return 1;
else
return factorial(n - 1) * n;
}

死递归和死循环的区别

死循环

若把上面阶乘的代码, 稍做改动:

for循环中间的条件去掉 - 变为死循环

1
2
3
4
5
6
7
8
9
int factorial(int n)
{
int res = 1;
for(int i = 1; ; ++i)
{
res = res * i;
}
return res;
}

但是, 死循环除了会耗费单核的CPU, 不会对内存空间产生伤害;

1
2
3
4
int main()
{
int sum = fun(4);
}

死递归

若把上面递归版本阶乘的代码, 稍做改动, 把if判断条件改为永假:

1
2
3
4
5
6
7
int factorial(int n)
{
if(false)
return 1;
else
return factorial(n - 1) * n;
}

则递归将没有一个出口;

而且更严重的是, 由于每一次的递归调用都需要开辟栈帧, 所以不久之后栈将会溢出, 程序崩溃;

思考

就这个现象, 其实说明了背后的一些更重要的意义, 一般, 非递归算法的空间复杂度最低可为O(1), 而递归算法的空间复杂度最低为O(n), 递归的特性势必造成额外的空间;

遍历打印数组

假如有一int数组为{12,23,34}, 要求打印出来

非递归 - 能不能把它改成递归?

1
2
3
4
5
6
7
8
9
void Print_Ar(const int * ar, int n)
{
assert(ar != NULL);
for(int i = 0; i < n; ++i)
{
cout << ar[i] << " ";
}
cout << endl;
}//12 23 34

递归初版 - 逆序

1
2
3
4
5
6
7
8
9
10
11
12
13
14
15
16
17
18
19
20
21
22
void Print(const int * ar, int n)
{
if(n > 0)
{
cout << ar[n-1] << " ";
Print(ar, n-1);
}
}
void Print_Ar_recur(const int * ar, int n)
{
assert(ar != NULL);
if(n < 1) return;//the length must > 0
Print(ar, n);
cout << endl;
}
int main()
{
int ar[] = {12, 23, 34};
int n = sizeof(ar) / sizeof(ar[0]);
Print_Ar_recur(ar, n);
return 0;
}//34 23 12

递归2版 - 正序-✔

看到没? 只是把5行和6行的代码调了个序, 效果就截然不同, 这就是递归的神奇之处;

n > 0时, 将一直递归下去, 直到n等于0, 之后, 随着递归栈帧的回退, 将从0到n-1逐一打印出来;

1
2
3
4
5
6
7
8
9
10
11
12
13
14
15
16
17
18
19
20
21
22
void Print(const int * ar, int n)
{
if(n > 0)
{
Print(ar, n - 1);
cout << ar[n-1] << " ";
}
}
void Print_Ar_recur(const int * ar, int n)
{
assert(ar != NULL);
if(n < 1) return;//the length must > 0
Print(ar, n);
cout << endl;
}
int main()
{
int ar[] = {12, 23, 34};
int n = sizeof(ar) / sizeof(ar[0]);
Print_Ar_recur(ar, n);
return 0;
}//12 23 34

总结 - 递归的范式

递归的题解有两部分组成, 将会把代码划分的清清楚楚;

  1. 第一个函数过滤掉不合法的参数, 同时作为开始调用递归的调用者;
  2. 第二个函数才是真正的递归函数;

总结 - 递归的分析

递归函数的执行分为“递推”和“回归”两个过程,这两个过程由递归终止条件控制,即逐层递推,直至递归终止条件满足,终止递归,然后逐层回归。

递归调用同普通的函数调用一样,每当调用发生时,就要分配新的栈帧(形参数据,现场保护,局部变量), 所以, 每个栈帧中的数据都是本层独有的!

而与普通的函数调用不同的是,由于递推的过程是一个逐层调用的过程,因此存在一个逐层连续的分配栈帧过程,直至遇到递归终止条件时,才开始回归,这时才逐层释放栈帧空间,返回到上一层,直至最后返回到主调函数。

错误版本1-不要使用后置自减

这个浅看看不出来, 实际上是一个必死的结局;

这个会导致栈溢出;

因为, n--会导致每次前一个栈帧给下一个函数传递的是n原本的值, 才去--, 这是后置自减的语义, 然后, 就相当于n原地不变, 所以一直到不了栈帧回退的出口;

1
2
3
4
5
6
7
8
void Print(const int * br, int n)
{
if(n > 0)
{
Print(br, n--);
cout << br[n - 1] << " ";
}
}

错误版本2-不要使用前置自减

会导致越界, 并且前面多打了一个(br[-1]), 后面少打了一个(br[n-1]);

因为他把n减1并传过去了, 就缺少了n的情况, 并且, 由于前面做了n值的判断, 而又在if里面改值, 这是不妥的; 即, 最好不要在判断n的合法性后对n进行改动, 这是递归程序的忌讳;

1
2
3
4
5
6
7
8
void Print(const int * br, int n)
{
if(n > 0)
{
Print(br, --n);
cout << br[n - 1] << " ";
}
}// [?随机值] 12 23 [缺34]

但是这种情况, 也可以把程序改正确, 即: 把打印br[n-1]改为br[n]

1
2
3
4
5
6
7
8
void Print(const int * br, int n)
{
if(n > 0)
{
Print(br, --n);
cout << br[n] << " ";
}
}// 12 23 34

但还是不建议在递归程序的变量上进行前置自减;

错误版本3-引用

1
2
3
4
5
6
7
8
9
10
11
12
13
14
15
16
void Print(const int * br, int & n)
{
if(n > 0)
{
Print(br, --n);
cout << br[n] << " ";
}
}
void Print_Ar_recur(const int * br, int n)
{
assert(br != NULL);
if(n < 1)return;//the length must > 0
Print(br, n);
cout << endl;
}
//12 12 12

因为栈帧递进时, 所有栈帧中的n都一直在动态改变, 最终所有栈帧的n值都变为0了, 即所有的n都保持一致了, 因此, 打印的都是br[0], 这是引用的影响;

尽量在递归中少用引用,只有在线索二叉树才会用到

FindPos

传入数据指针, 长度, 和要找到val值, 返回下标

非递归版

1
2
3
4
5
6
7
8
9
10
11
12
13
14
15
16
17
18
int FindPos(const int * br, int n, int val)
{
if(br == NULL || n < 1)return -1;
int pos = n - 1;
while(pos >= 0 && br[pos]!=val)
{
--pos;
}
return pos;
}
int main()
{
int ar[] = {12,56,34,78};
int n = sizeof(ar)/sizeof(ar[0]);
int val = 78;
int pos = FindPos(ar,n,val);
cout << pos << endl;
}

递归版本-自己写的初版

1
2
3
4
5
6
7
8
9
10
11
12
13
int Find(const int * br, int n, int val)
{
if(n > 0)
{
if(br[n - 1] == val) return n - 1;
return Find(br, n - 1, val);
}
}
int FindPos(const int * br, int n, int val)
{
if(br == NULL || n < 1) return -1;
return Find(br, n, val);
}

错误点:如果没有找到val,没有返回值。即, 如果走到n==-1, 则没有return的值, 可视为获取到了一个随机值

递归版本-正确版本

1
2
3
4
5
6
7
8
9
10
11
12
13
14
15
16
17
//杨版
int Find(const int * br, int n, int val)
{
if(n <= 0 || br[n-1] == val)
{
return n - 1;
}
else
{
return Find(br, n - 1, val);
}
}
int FindPos(const int * br, int n, int val)
{
if(br==NULL || n<1)return -1;
return Find(br,n,val);
}

递归版本-标准版本

1
2
3
4
5
6
7
8
9
10
11
12
13
14
15
16
//初版和杨版结合、改进
//杨版
int Find(const int * br, int n, int val)
{
if(n > 0)
{
if(br[n-1] == val) return n - 1;
else return Find(br, n - 1, val);
}
return -1;
}
int FindPos(const int * br, int n, int val)
{
if(br==NULL || n < 1)return -1;
return Find(br, n, val);
}

排序

快排、归并、堆排

问题

  1. 时间复杂度是多少?
  2. 空间复杂度是多少?
  3. 是否稳定?怎样可以稳定?什么时候需要稳定,什么时候不需要稳定?
  4. 什么情况下性能会退化?
  5. 三个排序的适用场景?
  6. 如果你的排序的递归的,怎么改为非递归?

快排

  1. 为什么数据有序的时候, 快排时间复杂度为O(n2)O(n^2)?
    1. 这个仅限于每次只从最边缘数据作为划分, 才出现这种情况
    2. 每次划分时, 相当于只划分出了一个数据和剩余的数据, 规模并没有有效的减小, 仍需要划分nn次; 而不是像最好的情况 - 每次正好把数据划分在中间, 规模减小, 此时只需划分log2n\log_2n次;
    3. 放在二叉树上的形象图示就是: 最差情况下的快排就是一个极端不平衡的二叉树, 最好情况下的快排就是一个很平衡的二叉树;

快排

划分函数

1
2
3
4
5
6
7
8
9
10
11
12
13
14
15
16
17
18
19
int Partition(int *ar, int left, int right)
{
int tmp = ar[left];
while(left < right)
{
while(left < right && ar[right] > tmp)
{
--right;
}
if(left < right) ar[left] = ar[right];
while(left < right && ar[right] <= tmp)
{
++left;
}
if(left < right) ar[right] = ar[left];
}
ar[left] = tmp; //最后, left成为中间位置
return left;
}

思考 - 为什么一直要强调left < right?

因为, 如果不加这种条件的话, left或right可能就会一直贪婪地, 不着边际地走下去, 最终left和right有可能错位!

如果产生了错位, left的right下标的值相互赋值将没有意义;

反之, 如果很好地控制了left和right的位置, 最终退出整个while循环后, left和right的位置一定指向的是同一个位置; 即, 最后两句的ar[left] = tmpreturn left同样可以换为ar[right] = tmpreturn left!

递归函数

1
2
3
4
5
6
7
8
9
10
11
12
13
14
15
void PassQuick(int *ar, int left, int right)
{
if(left < right) //如果left == right 相当于只有一个元素, 不需排序
{
int pos = Partition(ar, left, right);//上一个划分出来的下标

PassQuick(ar, left, pos - 1); //对left ~ pos-1再划分
PassQuick(ar, pos + 1, right); //对pos+1 ~ right再划分
}
}
void QuickSort(int * ar, int n)
{
if(ar == NULL || n < 2)return;
PassQuick(ar, 0, n-1);
}

测试

1
2
3
4
5
6
7
8
9
10
11
12
13
14
15
16
17
void Print_Ar(const int * ar, int n)
{
if(ar == NULL || n < 1)return;
for(int i = 0; i < n; ++i)
{
cout << ar[i] << " ";
}
cout << endl;
}
int main()
{
int ar[] = {56, 12, 78, 90, 34, 23, 100, 56, 45, 67, 89};
int n = sizeof(ar) / sizeof(ar[0]);
Print_Ar(ar, n);
QuickSort(ar, n);
Print_Ar(ar, n);
}

同时, 也可以在PassQuick函数中Partition语句的下一行加个Print_Ar(ar, 11); 这样就能在每次划分完毕之后, 清楚地看到数组的状态;

image-20220616101832798

非递归 - 使用STL的queue

1
2
3
4
5
6
7
8
9
10
11
12
13
14
15
16
17
18
19
20
21
22
23
24
void QuickSort(int * ar, int n)
{
if(ar == NULL || n < 2) return;
queue<int> qu;
qu.push(0);
qu.push(n - 1);
while(!qu.empty())
{
int left = qu.front(); qu.pop();
int right = qu.front(); qu.pop();

int pos = Partition(ar, left, right);
if(left < pos - 1)
{
qu.push(left);
qu.push(pos - 1);
}
if(pos + 1 < right)
{
qu.push(pos + 1);
qu.push(right);
}
}
}

使用对儿 - pair

1
2
3
4
5
6
7
8
9
10
11
12
13
14
15
16
17
18
19
void QuickSort(int * ar, int n)
{
if(ar == NULL || n < 2) return;
queue<std::pair<int, int>> qu;
qu.push(std::pair<int, int>(0, n-1));
while(!qu.empty())
{
std::pair<int, int> record = qu.front(); qu.pop();
int pos = Partition(ar, record.first, record.second);
if(record.first < pos - 1)
{
qu.push(std::pair<int, int>(record.first, pos-1));
}
if(pos + 1 < record.second)
{
qu.push(std::pair<int, int>(pos+1, record.second));
}
}
}

可以使用别名使程序简化 - using idxPair = std::pair<int, int>

1
2
3
4
5
6
7
8
9
10
11
12
13
14
15
16
17
18
19
20
21
void QuickSort(int * ar, int n)
{
if(ar == NULL || n < 2) return;
using idxPair = std::pair<int, int>;

queue<idxPair> qu;
qu.push(idxPair(0, n-1));
while(!qu.empty())
{
idxPair record = qu.front(); qu.pop();
int pos = Partition(ar, record.first, record.second);
if(record.first < pos - 1)
{
qu.push(idxPair(record.first, pos-1));
}
if(pos + 1 < record.second)
{
qu.push(idxPair(pos+1, record.second));
}
}
}

划分函数 - 单向划分 - 特别适于单链表

详见 “快速排序” 一文;

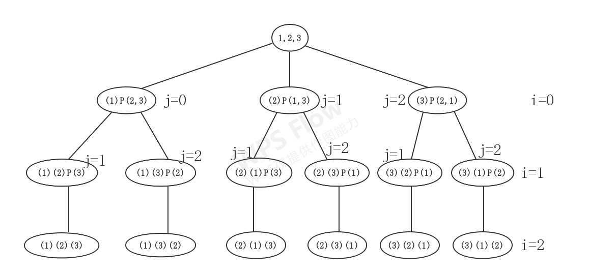
全排列、子集树

全排列

1
2
3
4
5
6
7
8
9
10
11
12
13
14
15
16
17
18
19
20
21
22
23
24
25
26
27
28
29
30
31
32
33
34
void Perm(int * ar, int i, int m)
{
if(i == m)
{
for(int j = 0;j <= m;++j)
{
cout << ar[j] << " ";
}
cout << endl;
}
else
{
for(int j = i;j <= m;++j)
{
std::swap(ar[i],ar[j]);
Perm(ar,i+1,m);
std::swap(ar[i],ar[j]);
}
}
}
int main()
{
int ar[] = {1,2,3};
int n = sizeof(ar)/sizeof(ar[0]);
Perm(ar, 0, n-1);
}
/*
1 2 3
1 3 2
2 1 3
2 3 1
3 2 1
3 1 2
*/

全排列

子集树

1
2
3
4
5
6
7
8
9
10
11
12
13
14
15
16
17
18
19
20
21
22
23
24
25
26
27
28
29
30
31
32
33
34
35
36
37
38
39
40
41
42
43
44
45
46
47
48
void fun(int i, int n)
{
if(i >= n)return;
else
{
fun(i+1, n);
fun(i+1, n);
}
}


void Print(int *ar, int * br, int i, int n)
{
if(i >= n)
{
for(int j = 0;j < n;++j)
{
if(br[j] == 1)
{
cout << ar[j] << " ";
}
cout << endl;
}
}
else
{
br[i] = 1;
Print(ar, br, i+1, n);
br[i] = 0;
Print(ar, br, i+1, n);
}
}
int main()
{
int ar[] = {1,2,3};
int br[] = {0,0,0};
Print(ar, br, 0, 3);
return 0;
}
/*
1 2 3
1 2
1 3
1
2 3
2
3
*/